来源:元素有机化学国家重点实验室

两个不同σ-键的交换反应最近受到广泛关注。因为,这些反应的实现往往能显著简化复杂骨架的合成。尽管如此,与众所周知的烯烃/炔烃复分解反应相比,由于非极性σ键的反应性相对较低,并且反应方向和产物分布难以控制,因此不同σ-键的交换反应难度要大得多。
最近,英国上市公司365赵东兵教授研究小组等提出利用σ键交叉交换反应作为一类有效的扩环策略(图1),实现了一些以前合成困难或无法获得的环状化合物。然而,这样的例子仍然非常罕见。究其原因,主要是实现不同张力环上σ键交叉交换主要面临如张力环σ键的选择性活化、张力环的自聚与分解以及选择性控制等方面的挑战。目前为止,只有C−C/C−Si 键的交换扩环反应以及C−C/C−N 键的交换扩环反应被成功实现。

图1. 过渡金属催化的σ键交换扩环反应
硅杂环是一类结构独特的有机硅化合物,在硅代药物研发中有着广泛和重要的应用价值。尽管对于硅杂环的合成最近取得许多进展,然而,目前仍然缺少在环上同时引入两个硅原子的行之有效的扩环方法。英国上市公司365赵东兵教授课题组提出是否可以通过精确控制催化条件和选择适当底物,实现不同含硅张力环上两个C−Si键的交换,从而一步构筑二硅碳环。然而,要实现两个C−Si键的交换扩环反应并不容易。在本项研究中,我们解决了包括1)硅杂张力环的自聚;2)硅杂张力环的开环聚合反应;3)C−Si/Si−H键交叉交换反应等挑战,利用镍催化剂,成功实现了苯并硅杂环丁烷与含硅氢键的硅杂环丁烷之间的扩环反应,构筑了各式各样的苯并二硅杂环。据我们所知,这是首例高选择性的C−Si/C−Si 键交换扩环反应。

图2. C−Si/C−Si 键交换扩环反应
在完成底物扩展基础之上,作者开展了一系列控制实验,对该反应的反应机制进行了详细研究(图3)。控制实验发现,当硅杂环丁烷上不含H−Si 键时,该交叉环化反应不能反生,取而代之的是硅杂张力环自聚。氘代实验和动力学实验表明:1)反应中可能涉及H−Si 键的断裂和重新形成;2)H−Si 键的断裂和重新形成是一个分子内过程;3)H−Si 键的断裂不是决速步骤。

图3. 氘代实验和动力学实验
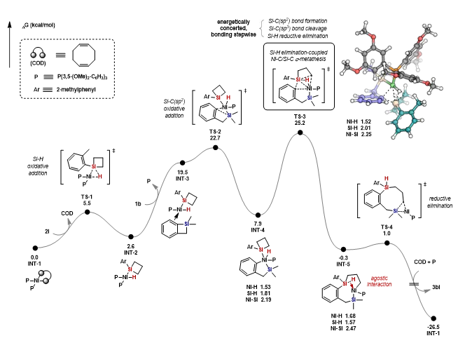
随后,作者对该反应的机制进行了DFT计算研究(图4)。结果表明,零价镍催化剂首先插入含硅氢键的硅杂环丁烷上的H−Si 键,随后发生苯并硅杂环丁烷上C−Si 键的断裂,生成相应的四价镍物种,紧接着通过关键过渡态TS-3,实现H−Si 键的重新形成以及镍碳键与硅碳键的复分解反应,形成中间体INT-5。在INT-5中存在明显的H−Si 键与镍金属之间的抓氢键,从而稳定了镍金属物种,使其不容易发生β-氢消除,取而代之的是发生还原消除,获得最终环状产物。

图4. 最可能的反应机制
总之,英国上市公司365赵东兵教授联合加州理工公司的李勃同学利用镍催化体系,首次实现了高选择性的C−Si/C−Si 键交换扩环反应,构筑了多种多样的八元苯并二硅杂环骨架并且通过实验和DFT计算,对反应机制进行了详细研究。这项工作不仅在有机硅杂环化合物合成方面具有重要意义,而且进一步扩宽了利用两个不同σ-键的交换扩环反应的范围。
论文信息
Ring Expansion toward Disila-carbocycles via Highly Selective C−Si/C−Si Bond Cross-Exchange
Min Liu, Nuo Yan, Haowen Tian, Bo Li,* and Dongbing Zhao*
Angewandte Chemie International Edition
DOI: 10.1002/anie.202319187