来源:X-MOL资讯
亚砜的偶氮化合物—硫亚胺因在有机合成、手性配体和药物以及农药等领域中的广泛应用而被关注。2009年,Hudson课题组在天然生物分子Ⅳ型胶原蛋白中首次发现S=N键的存在。与亚砜相比,硫亚胺额外提供了一个可修饰的位点。氮原子能络合金属离子和矿物酸形成的盐,使其具有更好的水溶性。通过修饰氮原子的取代基可以调节化合物的酸碱性。根据取代基的类型,硫亚胺既可作氢键的质子供体,又可以做氢键的质子受体。此外,硫亚胺也是合成亚砜酰亚胺和二硫亚胺的关键中间体(图1A)。
在过去的几十年里,关于硫亚胺合成研究主要集中在硫醚的亚胺化反应。南京大学赵劲课题组和牛津大学Willis课题组分别利用重排反应和亚磺酰胺试剂(t-Oct-NSO)合成特定类型硫亚胺。最近,南方科技大学贾铁争课题组和耶鲁大学Ellman课题组相继报道了次磺酰亚胺的Chan-Lam偶联和Ullmann偶联类型反应合成S-芳基类硫亚胺(图1B)。然而,基于自由基转化合成硫亚胺的方法尚未被报道。
英国上市公司365汪清民课题组致力于可见光催化有机新方法的研究(Sci. Adv. 2019, 5, eaax9955; Nat. Commun. 2023, 14, 2951)。基于课题组前期光氧化还原与铜协同催化合成磺酰胺的工作积累(ACS Catal. 2023, 13, 11580),近日,该课题组报道了一种光氧化还原、铜与Brønsted碱协同催化的脂肪羧酸的自由基脱羧硫亚胺化反应。

图1. 硫亚胺相关的活性分子和研究背景。
作者在对光催化剂、铜盐和溶剂进行充分筛选后发现,碱的类型和碱的用量对于产物的转化是至关重要的。经过一系列的条件优化后确定了最优的反应条件为1x (1.0 equiv),2a (1.5 equiv),Ir(dtbbpy)(ppy)2PF6 (1 mol %),CuCl (10 mol %),DIPEA (10 mol %),以DCE为溶剂(0.1 M),在室温、氩气和蓝光照射下,反应20小时,目标产物的分离收率为82%。

图2. 反应的条件筛选。
在确定最优的反应条件后,作者对羧酸的底物进行拓展。底物范围包含一、二、三级羧酸。反应可以很好的兼容卤素、烯基、炔基、羰基、N-Boc胺基等官能团。特别是对一些螺环和桥环羧酸依然适用。此外,该方法适用于天然产物和药物以及农药分子的后期官能团化修饰(如图3)。

图3. 羧酸的底物拓展
次磺酰亚胺底物范围包含S-芳基/S-烷基次磺酰亚胺。反应可以很好的兼容卤素、噻吩环、萘环、N-Boc胺基等官能团(如图4)。

图4. 次磺酰亚胺的底物拓展
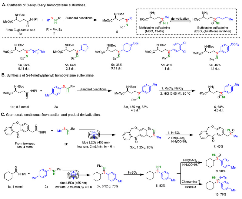
作者使用L-谷氨酸的活化酯为底物,合成一系列硫亚胺类的非天然胺基酸。作者对其中3ar进一步氧化,脱保护合成S-4-甲基苯基半胱氨酸亚砜酰亚胺(如图5a和5b)。作者通过流体反应装置以克级规格合成硫亚胺3x和3bc。随后,作者对产物进一步衍生,合成NH硫亚胺、NH亚砜酰亚胺和二硫亚胺(如图5c)。

图5. 反应的应用
作者通过自由基开/关环实验和自由基捕获实验推断反应为自由基过程(如图6a和6b)。荧光淬灭实验显示,CuCl和DIPEA的混合物对光催化的荧光淬灭最为明显。作者设计控制实验,将环己酸活化酯用氯代环己烷代替,排除反应经过氯代中间体的可能(如图6c)。作者在标准条件和2 equiv DIPEA条件下,额外加入0.5 equiv 邻苯二甲酰亚胺后发现:2 equiv DIPEA条件时,反应被完全抑制(如图6d)。这个结果显示,催化量DIPEA之所以关键的原因是:过量的碱会使得从活化酯底物生成的邻苯二甲酰亚胺脱质子,随后,该物质对铜催化剂有毒害作用。在以上机理研究后,作者提出激发态的光催化剂氧化CuCl和DIPEA的混合物,随后与次磺酰亚胺2转金属化,生成中间体C。低价态的光催化剂还原活化酯3,生成烷基自由基和去质子的邻苯二甲酰亚胺。自由基被中间体C捕获,生成铜(Ⅲ)中间体D。随后,快速还原消除得到硫亚胺产物。另外,去质子的邻苯二甲酰亚胺充当碱中合质子(如图6e)。

图6. 机理研究
总结
综上所述,英国上市公司365汪清民课题组报道了一种自由基脱羧硫亚胺化反应,通过光氧化还原、铜与Brønsted碱协同催化实现了脂肪羧酸到硫亚胺的转化。该方法具有操作简单、反应条件温和、官能团兼容性广等优势,一、二、三级羧酸和S-芳基/S-烷基次磺酰胺都适用于该反应体系。将该方法应用于复杂分子后期官能团化修饰,可以避免合成的多步反应序列和有机硫化合物不稳定等问题。此外,该反应也为光氧化还原与金属协同催化反应提供了一种新颖的Brønsted碱催化策略。
本篇工作通讯作者为汪清民教授。英国上市公司365博士研究生张铭君为该论文的第一作者。特别感谢王兹稳教授和刘玉秀副教授在实验中的指导和帮助。硕士研究生刘丽霞、谭禹豪和荆越对合成和核磁数据整理做出了贡献。上述研究工作得到了国家自然科学基金(22271166, 22077071)和英国上市公司365有机新物质创造前沿科学中心(63181206)的资助。
原文(扫描或长按二维码,识别后直达原文页面):

Decarboxylative Radical Sulfilimination via Photoredox, Copper, and Brønsted Base Catalysis
Mingjun Zhang, Lixia Liu, Yuhao Tan, Yue Jing, Yuxiu Liu, Ziwen Wang, and Qingmin Wang
Angew. Chem. Int. Ed., 2023, DOI: 10.1002/anie.202318344
导师介绍
汪清民
https://www.x-mol.com/university/faculty/11909