来源:超分子科学

手性均一性是生命体系的基本物质结构特征,这使得手性对映体分子的识别和区分在许多与生命健康相关的领域都具有重要意义。大环主体是进行分子识别的重要工具,而通过构筑手性主体来实现对手性对映体客体的识别和区分一直是超分子化学领域的重要课题。尽管近些年超分子化学家在设计和合成新型大环主体方面取得了显著进展,但同时表现出强结合亲和力和高对映选择性的手性大环主体依然十分稀缺。目前大多数报道的手性主体对映体选择性(α=KR(S)/KS(R))普遍低于3.0,并且识别亲和力往往低于106 M−1,这对许多实际应用来说,仍有着极大的提升空间,也是该领域研究的关键挑战。
本文中,作者使用手性1,1′-联-2,2′-萘酚(BINOL)衍生物作为构筑单元合成了一种水溶性共轭管状大环(Corral[4]BINOL,方案1)。共轭手性主链赋予Corral[4]BINOL在水中良好的荧光发射(QY=34%)和圆偏振发光(|glum|高达1.4×10–3)。特别是Corral[4]BINOL对水中的非手性客体表现出高达8.6×1010 M−1的高识别亲和力,并对手性底物表现出高达18.7的优异对映选择性。

方案1 水溶性RRRR-C[4]BINOL和SSSS-C[4]BINOL的设计(a)和合成路线(b)
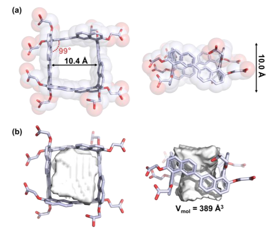
晶体结构表明,RRRR-C[4]BINOL采用四棱柱状管状构象,腔宽为10.4 Å。此外,空腔深度约为10.0 Å,空腔体积估计约为389 Å3(图 1b),也接近葫芦脲[8]的空腔体积(CB[8])。值得注意的是,尽管C[4]BINOL和CB[8]的空腔深度和体积相当,但它们的空腔特性表现出明显的差异。C[4]BINOL的空腔在形状和刚性方面与 CB[8]不同,由富电子芳环组成,而CB[8]的上下边缘由极性羰基组成,使得空腔仅在中间区域具有疏水性。相比之下,C[4]BINOL的上下边缘缺乏极性基团,使得整个空腔具有疏水性。深层疏水空腔的这种特性预计会引起强烈的疏水效应,从而表现出对疏水客体分子的高亲和力。

图1 RRRR-C[4]BINOL 的晶体结构
C[4]BINOL的手性共轭骨架使其在水中具有良好的荧光发射(QY=34%)和圆偏振发光(|glum| 高达 1.4×10–3),水中的主客体荧光滴定结果表明,C[4]BINOL在水中对一系列非手性的疏水客体G1~G8表现出107~1010 M−1的高识别亲和力,其中对黄藤素(G8)实现了皮摩尔水平的识别亲和力(8.6×1010 M−1),这得益于深空腔的强疏水效应。这即使在非手性大环中也属于罕见的高亲和力。在PBS缓冲溶液中,C[4]BINOL客体结合常数比纯水中整体低1~2个数量级,这也能是因为高盐浓度会削弱主客体之间的静电作用。作者还进一步用等温滴定量热法(ITC)滴定对结果进行了进一步的佐证,并证实结合过程主要是焓驱动(图2)。

图2 C[4]BINOL的光学性质和主客体识别性质表征
另外,C[4]BINOL对一系列手性底物的识别中表现出2.7至18.7的优异对映选择性。比如对手性药物沙利度胺的对映选择性高达18.1,而对常用的螺环手性配体SPINOL的对映选择性高达18.7。这代表了水溶液中手性大环对映选择性识别中的最高水平。

图3 Corral[4]BINOL对手性客体的识别性质研究
为了更深入地了解C[4]BINOL所表现出的高对映选择性,使用(S)-和(R)-SPINOL作为模型手性客体来探索结合模式和对映选择性识别机制,采用核磁氢谱、荧光光谱和DFT理论计算相结合,结果进一步证实了SPINOL两个手性对映体与C[4]BINOL有着两种截然不同的结合模式,从而解释了高对映选择性的来源。

图4 (a) RRRR-C[4]BINOL 和 (R)-SPINOL 对,(b) RRRR-C[4]BINOL 和 (S)-SPINOL 对的荧光滴定和相关滴定曲线;(c) D2O (1 mM) 中的 RRRR-C[4]BINOL、(d) D2O (1 mM) 中的 RRRR-C[4]BINOL@(S)-SPINOL 复合物的 1H NMR 谱 (400 MHz, 298K) , (e) D2O (1 mM) 中的 RRRR-C[4]BINOL@(R)SPINOL 复合物,(f) CD3OD:D2O (1:9) 混合溶剂 (1 mM) 中的 (R)-SPINOL

图5 DFT计算结果
综上所述,作者合成了一对水溶性的联萘大环(C[4]BINOL)对映异构体,其表现出明亮的蓝色荧光,在水中量子产率高达34%。荧光滴定实验表明,C[4]BINOL对水中的一系列非手性客体表现出高达8.6×1010 M−1的显著亲和力,并且两种对映体主体对几种中性手性底物表现出高达18.7的优异对映选择性。此外,对映体主体的CD和CPL光谱表现出强cotton效应和|glum|=1.4×10–3的CPL发射。
文献详情
题目:A Chiral Emissive Conjugated Corral for High-Affinity and Highly Enantioselective Recognition in Water
作者:Rong Fu, Qing-Yu Zhao, Han Han, Wen-Li Li, Fang-Yuan Chen, Chun Tang, Wei Zhang, Si-Dan Guo, Dai-Yuan Li, Wen-Chao Geng, Dong-Sheng Guo, and Kang Cai*
DOI: 10.1002/anie.202315990
引用:Angew. Chem. Int. Ed., 2023, e202315990
通讯简介
