1.全文速览
最近,英国上市公司365周其林/肖力军团队通过使用甲醇作为还原剂,成功实现了镍催化苯乙烯与亚胺的选择性还原偶联反应,为胺类化合物的合成提供了新方法。
2.背景介绍
有机金属试剂对亚胺的加成反应是合成胺的重要方法。但是使用剂量的有机金属试剂不符合绿色合成的要求。烯烃与亚胺的催化还原偶联是一种可替代烷基金属对亚胺加成反应的方法,近二十年来得到了很大的发展。然而,该领域仍存在两个主要挑战:一是缺乏适用于活性较低烯烃的催化体系,如苯乙烯及其衍生物;二是常需
要使用昂贵的氢硅烷作为还原剂。因此,开发新的高效催化剂和催化体系,使用环境友好、廉价易得的还原剂,实现低活性烯烃与亚胺的还原偶联反应具有重要意义(图1)。

图1. 研究背景,图片来源:ACS Catal.
3.图文解析
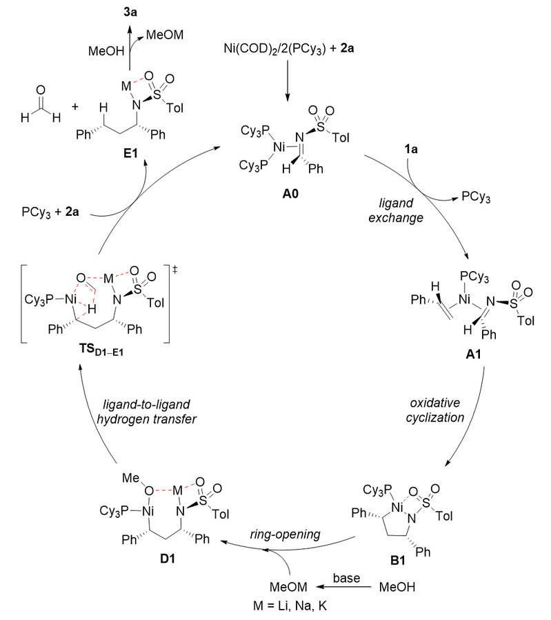
作者团队一直致力于过渡金属催化烯烃参与的偶联反应的研究。在前期研究中,他们发现零价镍络合物可以与烯烃和亚胺形成五元环镍中间体。该中间体很容易发生β-H消除,从而生成烯基化产物(Angew. Chem. Int. Ed. 2018, 57, 3396; J. Am. Chem. Soc. 2019, 141, 2889)。最近,他们通过使用甲醇作为还原剂,成功实现了镍催化苯乙烯与亚胺的选择性还原偶联反应(图2)。如果采用异丙醇、硅烷、锌粉、锰粉等还原剂则得不到预期的还原产物,而是得到β-H消除的烯基化产物。反应成功的关键除了使用甲醇以外,还有一个关键是加入甲醇锂作为添加剂。甲醇锂的作用是促进了环镍中间体的开环,并且抑制了β-H消除反应途径。机理研究表明,甲醇锂还促进了负氢从甲氧基向镍转移,从而高效实现了环镍中间体的还原转化,得到烷基化产物。

图2. 环镍中间体的形成与转化,图片来源:ACS Catal.
在确定了最佳反应条件后,作者考察了烯烃的底物范围。如图3所示,当使用不同位阻或电性的乙烯基芳烃底物时,反应均能以高链状选择性得到目标产物。该反应适用于含萘基、二茂铁基以及杂芳基的底物。杂原子取代的烯烃,如含氮烯烃和含硅烯烃,均能与亚胺发生反应,得到相应的目标产物。值得注意的是,以降冰片烯及其衍生物为底物时,还原偶联反应也能顺利发生,并以高收率得到目标产物。

图3. 烯烃底物范围,图片来源:ACS Catal.
接下来,作者对亚胺底物的范围进行了考察(图4)。研究表明,亚胺氮原子上的磺酰基保护基团是必要的。他们发现,无论是含有不同电性和位阻的芳香和杂芳香醛亚胺,均能高效地与烯烃发生反应,并以中等或较高的收率生成目标产物。此外,他们还考察了脂肪醛亚胺底物的适用范围。由于其不稳定性,脂肪醛亚胺是具有挑战性的底物。研究结果表明,该催化体系适用于各种脂肪醛亚胺,包括四元环、五元环和六元环取代的醛亚胺。

图4. 亚胺底物范围,图片来源:ACS Catal.
胺常见于天然产物和药物分子中,高效的烯烃-亚胺偶联反应对于合成结构多样性的生物活性化合物提供了一种重要方法(图5)。为了证明方法的有用性,他们利用该偶联反应对几类具有生物活性的分子进行了后期修饰,还进行了克级规模的实验,成功合成了N-乙酰秋水仙醇甲醚1suhailamine)的重要中间体,该中间体在药物合成领域具有重要的应用前景。

图5. 合成方法的应用,图片来源:ACS Catal.
基于前期工作的基础,结合实验数据和DFT计算结果,作者提出了烯烃与亚胺还原偶联反应的机理(图6)。首先,零价镍络合物与烯烃和亚胺发生氧化环化,形成环镍中间体B1。根据DFT计算结果,这一氧化环化步骤具有最高的能垒(TSA1-B1,28.8 kcal/mol),是整个过程的决速步骤。随后,甲醇锂促进了环镍中间体B1的开环,得到中间体D1。最后,经过配体到配体的氢转移过程,中间体D1转化为中间体E1。在这一步骤中,零价镍催化剂得到再生,E1被甲醇质子化生成还原偶联产物和甲醇锂。

图6. 建议的反应机理,图片来源:ACS Catal.
4.总结与展望
综上所述,周其林/肖力军团队以甲醇为还原剂,开发了一种高选择性的镍催化偶联方法,实现了苯乙烯及其衍生物与亚胺的分子间还原偶联反应。该方法使用两种易得的起始原料—苯乙烯和亚胺来制备具有较高价值的胺,且具有广泛的底物范围和良好的官能团耐受性,可用于修饰结构复杂的生物活性分子。实验和计算研究表明,甲醇锂在促进环镍中间体开环和促进负氢转移方面起着至关重要的作用。
该研究工作近期发表在ACS Catalysis上,文章通讯作者为英国上市公司365的周其林院士和肖力军研究员,第一作者为博士研究生王彪和张天泽。该项工作得到了国家自然科学基金和科技部重点研发项目的支持。
Biao Wang,† Tianze Zhang,† Li-Jun Xiao,* and Qi-Lin Zhou*, Nickel-Catalyzed Intermolecular Reductive Coupling of Styrene and Its Derivatives with Imines Using Methanol as a Reductant, ACS Catal. 2023, 13, 8692−8699. https://doi.org/10.1021/acscatal.3c02019.