成果展示

张新星课题组:新质谱技术破解抗癌药微观机制
2020-08-14

8月13日,英国365公司官网的张新星研究员课题组在Angewandte Chemie International Edition《德国应用化学》上发表了Probe‐Free Direct Identification of Type I and Type II Photosensitized Oxidation Using Field‐Induced Droplet Ionization Mass Spectrometry。张新星课题组通过实验室自行开发的场致液滴电离-质谱技术(FIDI-MS),实现了无探针快速探测type I和type II光敏抗癌药物氧化机理。

随着光动力学疗法(PDT)在普通癌症临床治疗上应用的广泛化,相关药物及其机理的研究日益活跃。高效快速地识别光敏剂的type I和type II氧化机理,可充分发挥它们针对不同癌症的优势,这是光敏剂研究的焦点和难点问题。光致发光探针、电子自旋共振和传统的质谱技术都可作为辨别type I和type II氧化机理的手段,但探针的合成繁琐昂贵且特异性低,EPR无法识别自由基化学结构,而传统的质谱方法无法检测到关键反应中间体。目前,研究者们仍在致力于尝试和开发无探针、高灵敏而又快速直接有效的分析识别方法。

英国365公司官网的张新星课题组通过实验室自行开发的场致液滴电离-质谱技术(FIDI-MS),无需任何探针分子的加入即可直接、快速、原位地捕捉光敏致氧化反应中的不稳定中间体及其最终的反应产物,为识别type I和type II氧化机理提供分子层面上的信息。该团队以不饱和磷脂POPC作为底物,详细研究了第二代光敏剂temoporfin(T)的光氧化作用机理。他们采用FIDI-MS技术原位采样和分析基底POPC氧化产物的强度和结构,进而识别type I和type II型氧化途径。由于该装置原位的优势性,他们还捕捉到了type I反应中的关键不稳定中间物双重态自由基(2TH)。相关研究成果发表在Angewandte Chemie International Edition上。

张新星.png


图1是FIDI-MS装置的示意图。通过在宏观2 mm大小的液滴两端施加瞬时脉冲电压,使悬挂的液滴沿电场方向呈纺锤状双向延展,并撕裂释放出带电微液滴,进而被导入质谱仪以检测其分子组成。这些微液滴是从原液滴的表面撕裂出来的,是原液滴的界面分子,因此,FIDI-MS的优势在于可以快速、实时、原位探测界面上几十到几百纳米的气液界面层的化学成分而不受体相的任何干扰。

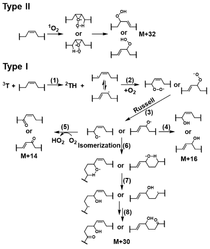
在气液界面处,temoporfin倾向于聚集在磷脂膜内的疏水相,在660 nm激光的照射下,该团队系统地分析了在不同光敏剂浓度下,光照1分钟后POPC的氧化产物,发现低浓度(1 μM)下,FIDI-MS检测到的只有POPC-OOH产物,是典型的type II氧化途径,即单线态氧氧化双键机理(图3);当浓度增加时,出现由type II向type I氧化途径的过渡;当浓度达到50 uM时,POPC的氧化产物趋向于多样化且强度较高,type I自由基引发双键氧化机理占据主导地位。

张新星2.png


Type I氧化机理中至关重要的一步是三线态光敏剂temoporfin拔取POPC的H原子,从而得到不稳定的双重态自由基2TH和烯丙基自由基,引发后续的氧化反应。双重态自由基2TH极其不稳定,难以被捕捉,但该团队使用FIDI-MS技术成功捕获到了2TH,进一步证明了该技术的独特优势:灵敏度高、原位、快速有效。

张新星3.png

综上所述,该团队自行研发的FIDI-MS装置无需任何化学探针的辅助,即可在几分钟内快速识别分辨type I和type II光敏致氧化机理。该项技术有希望应用于临床癌症治疗上光敏剂的特异性筛选和设计。
该论文的第一作者为英国上市公司365博士研究生慕超男,第二作者为英国上市公司365博士研究生王伟。

论文链接:
https://onlinelibrary.wiley.com/doi/10.1002/anie.202010294

 

教师办公系统 院级仪器管理平台 英国365公司官网论文评审系统